项目风险的处置_2025年高级会计实务知识点
生活从来不会辜负任何人,你想要获取成功,就要为此努力。2025年高级会计师考试备考正在进行中,希望大家能认真学习积极备考,在考试中取得好成绩!

【所属章节】第四章:企业投资、融资决策与集团资金管理
【知识点】项目风险的处置
项目风险的处置
1.项目风险与公司风险
项目风险与公司风险不同。
2.处理方法
如何处理高风险项目中的风险呢?方法有两种:一是确定当量法;二是风险调整折现率法。
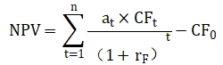
(1)确定当量法
确定当量法就是一种对项目相关现金流量进行调整的方法:

式中:at为t年现金流量的确定当量系数,它在0~1之间;rF为无风险利率(折现率可选择长期国债的收益率作为替代)。
(2)风险调整折现率法
风险调整折现率法是对折现率进行调整的方法。

式中:RADRS指风险调整后的折现率。
风险调整折现率法思路是在公司部门的各个投资项目中,平均风险的项目按公司平均的资本成本计算净现值,高风险项目按高于平均的折现率计算净现值;低风险的项目按低于平均的资本成本计算净现值。
注:以上高级会计师考试知识点内容来自东奥老师授课讲义
(本文为东奥会计在线原创文章,仅供考生学习使用,禁止任何形式的转载)







津公网安备12010202000755号